THD là gì? Có ý nghĩa gì trong âm thanh?
THD là một trong những khái niệm phổ biến của lĩnh vực âm thanh. Tuy nhiên, nếu không tìm hiểu sâu về vấn đề này, bạn sẽ khó hiểu THD là gì. Thông qua bài viết dưới đây, Tech Sound Việt Nam sẽ giới thiệu đến bạn thông tin chi tiết về THD.
1. THD là gì?
Trong âm thanh, THD là từ viết tắt của "Total Harmonic Distortion" (Méo hại tổng hợp). Đây là một chỉ số đo lường mức độ biến dạng của tín hiệu âm thanh so với tín hiệu gốc. Khi một hệ thống âm thanh chuyển đổi hoặc truyền tín hiệu, các thành phần cơ bản của tín hiệu có thể tạo ra các harmonics (âm hưởng) mới không mong muốn, làm tăng sự biến dạng.
THD được tính toán bằng cách so sánh tổng năng lượng của tất cả các harmonics tạo ra với năng lượng của tín hiệu gốc. Một THD thấp thường được xem là tốt, vì nó chỉ ra rằng hệ thống không tạo ra nhiều biến dạng âm thanh.
Các thiết bị âm thanh như ampli, loa hoặc tai nghe thường được đánh giá dựa trên chỉ số THD để xác định chất lượng âm thanh mà chúng cung cấp. Các sản phẩm có THD thấp hơn thường có hiệu suất âm thanh tốt hơn và đưa đến trải nghiệm nghe nhạc chất lượng cao hơn.

THD được dùng để đo độ méo âm thanh
>>> Xem thêm: Hi-Fi là gì? Hi-End là gì? Có gì khác nhau?
2. THD+N là gì?
THD+N là thước đo dùng để đánh giá mức độ méo hài và nhiễu tổng thể có trong tín hiệu âm thanh. Thông thường, chỉ số này được biểu diễn dưới dạng phần trăm và tính bằng cách so sánh tổng số lượng méo hài và nhiễu trong tín hiệu âm thanh với tín hiệu âm thanh gốc.
Mức độ THD+N càng thấp tín hiệu âm thanh càng có chất lượng cao và ít bị nhiễu. Các chuyên gia âm thanh, nhà sản xuất đều nỗ lực giảm thiểu mức độ THD+N trên các thiết bị âm thanh để cải thiện chất lượng âm thanh và tạo ra trải nghiệm nghe nhạc tốt nhất cho người dùng.
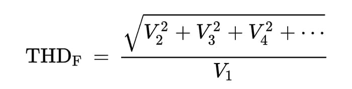
Bạn có thể tính được chỉ số THD thông qua công thức sau:

Công thức tính THD
Trong đó:
- V1: giá trị hiệu điện thế RMS của tín hiệu âm thanh ban đầu
- V2, V3,…, Vn: giá trị hiệu điện thế RMS của các sóng hài trong tín hiệu âm thanh
3. THD bao nhiêu là tốt?
Tuỳ vào yêu cầu cụ thể, mức độ THD tốt xấu sẽ có sự khác nhau. Nhìn chung, THD thấp sẽ cho âm thanh chất lượng và hay hơn. Trong các thiết bị như tai nghe, loa, amply… THD thấp hơn 1% là rất tốt, cho ra âm thanh sống động, chân thật nhất. Tuy nhiên, âm thanh chuyên nghiệp nên có THD từ 0.01% - 0.1%.
- Micro: THD nên dưới 1%
- Amply, cục đẩy công suất: THD dưới 0.05%

THD càng thấp, âm thanh càng chất lượng
4. Các yếu tố ảnh hưởng tới THD là gì?
Mức độ THD (Total Harmonic Distortion) là một chỉ số quan trọng để đánh giá chất lượng âm thanh trong các thiết bị điện tử. Chỉ số này chịu ảnh hưởng bởi một số yếu tố sau:
- Điện Áp Đầu Vào (Input Voltage): Mức độ THD có thể tăng lên khi điện áp đầu vào vào thiết bị vượt quá giới hạn được thiết kế.
- Dải Tần Số (Frequency Range): THD có thể biến đổi theo dải tần số của tín hiệu âm thanh. Một số thiết bị có thể thể hiện THD khác nhau ở các dải tần khác nhau.
- Nhiệt Độ (Temperature): Nhiệt độ có thể ảnh hưởng đến hiệu suất của các thành phần điện tử, làm tăng mức độ THD.
- Biến Động Điện Áp (Voltage Fluctuations): Nếu có sự biến động lớn trong điện áp nguồn, có thể tăng mức độ THD.
- Thời Gian Sử Dụng (Age and Wear): Thiết bị có thể trải qua quá trình lão hóa và mài mòn theo thời gian, dẫn đến tăng mức độ THD.
- Chất Lượng Linh Kiện (Component Quality): Sự chất lượng của các linh kiện bên trong thiết bị, như transistor, tụ, có thể ảnh hưởng đến mức độ THD.
- Dạng Sóng Đầu Vào (Input Waveform): Các thiết bị có thể phản ứng khác nhau đối với các dạng sóng đầu vào, chẳng hạn như sóng hình vuông so với sóng hình sin.
- Chế Độ Hoạt Động (Operating Mode): Mức độ THD có thể thay đổi tùy thuộc vào chế độ hoạt động của thiết bị, chẳng hạn như ở mức công suất cao hơn.
Việc hiểu rõ những yếu tố này giúp người sản xuất và người tiêu dùng có cái nhìn tổng quan về chất lượng âm thanh của một thiết bị và cách chỉ số này phản ứng trong các điều kiện khác nhau. Hy vọng qua bài viết trên, bạn đã có thêm thông tin hữu ích về vấn đề này. Nếu cần tư vấn, đừng ngần ngại hãy liên hệ ngay với Tech Sound Việt Nam để được hỗ trợ nhanh nhất.
Bài viết liên quan
CÔNG TY CỔ PHẦN TECH SOUND VIỆT NAM
Hotline: 0942979696 / 0933469555
Địa chỉ Showroom: Số 07-B2 khu ShopHouse24h, Tố Hữu, Vạn Phúc, Hà Đông, Hà Nội.
Website: www.techsound.vn
Youtube: http://ldp.to/ytbtechsound
Zalo: http://ldp.to/zalotechsound
Facebook: http://ldp.to/fbtechsound